Δελτία Τύπου - Ανακοινώσεις
Προκηρύξεις
Back
Στατιστικά βαθμολογιών πανελλαδικών εξετάσεων 2008
Στα στατιστικά στοιχεία που παρατίθενται παρακάτω θα δείτε τα εξής:
- Ποσοστό γραπτών που αναβαθμολογήθηκαν ανά μάθημα
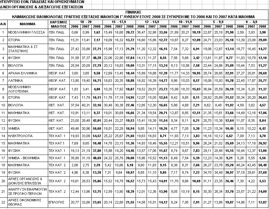
- Κλιμάκωση βαθμολογίας γραπτής εξέτασης μαθητών Γ Λυκείου 2008 σε σύγκριση με 2007 και 2006 ανά μάθημα
- Συγκριτικός της βαθμολογίας γραπτής εξέτασης μαθητών Γ Λυκείου 2008 σε σύγκριση με 2005, 2006, 2007 κατά μάθημα με βάση το 10
- Ποσοστό γραπτών που αναβαθμολογήθηκαν ανά μάθημα
|
|

Πολίτες
Θέλω να...


































